twicer ®   06-Nov-2025 11:02

PortToPort Desktop | Marine Distance Tables


Year: 2025
Version: 6.1.2.0
Developer: CherSoft Ltd
Platform: Windows
64-bit OS compatibility: yes
System Requirements: Windows any Version
Localization: English
Crack: Included (readme.txt for details)
Description: "PortToPort Desktop" - the desktop version can be installed on a Windows PC and provides offline access to the AtoBviaC Marine Distance Tables.
PortToPort Desktop is part of the AtoBviaC distance calculations software range. This desktop application does not need the internet, making it ideal to be used on ships at sea. It gives access to the AtoBviaC Marine Distance Tables via Windows PCs, making sure the marine distances and route calculations produced are accurate and realistic. The Distance Tables used are automatically updated to use the latest version of the Distance Tables whenever a new release is made, ensuring that subscribers always have access to current distance data.
Accurate distances, the ability to create multi-leg voyages using over 3300 'distance table' ports with full control over routing between ports.
Tables updated to Admiralty Notices to Mariners 2025 Week 40 | Distance Tables Date: Monday, 06-Oct-2025
:

Notable areas of Change

Port approaches reviewed
Minor changes have been made to approaches to the following ports, prompted by review or due to the release of updated charts or other information in Notices to Mariners; distances to/from these ports may have changed:
Cagliari
Civitavecchia
Fuzhou
Halifax
Hongquao
Istanbul
Istanbul
London
Los Angeles
Mailiao
Nanao
Naoetsu
New York
Ningpo
Pepel
Port Said
Ravenna
Rotterdam
San Ciprian
Santos
Taichung
Trieste
Walvis Bay
Other sea areas reviewed
Minor changes have been made to the route network in the following sea areas, either prompted by review or due to the release of updated charts or other information in Notices to Mariners; distances for routes transiting these areas may have changed by a small amount:
Brazilian Coast
Caribbean
Cayman Islands
Eastern Mediterranean
Gulf of Thailand
Malaysia
Mindoro Strait
North Australia
North Sea
North-East Coast of USA
San Andres Island
West Africa
West coast of India

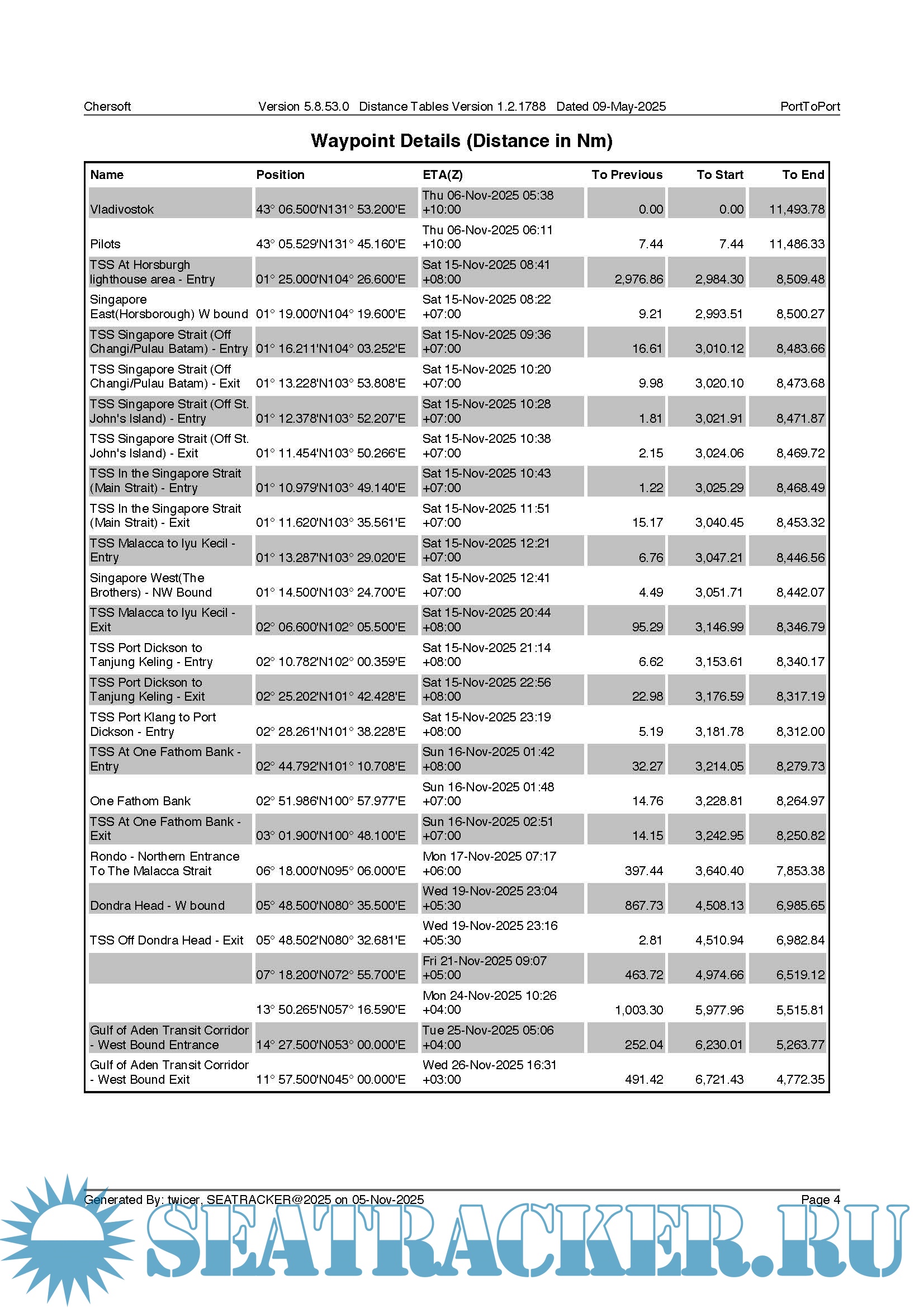
Screenshots

PortToPort Desktop_6.1.2.0

Download [35 KB]

Thank U
Reply
crossejl03161988   29-Dec-2025 19:36
Good day Mates, Thanks for the software, I just wanted to ask what to do after the installation because this does not seemed to have a crack? TYIA
1
Reply
refresh list

Similar releases

Sailing Directions / Лоции - National Geospatial-intelligence Agency [2014-2017, PDF]
Lloyd’s Maritime Atlas of World Ports and Shipping Places (27th edition) - Lloyd’s MIU [2013, PDF]
Lloyd’s Maritime Atlas of World Ports and Shipping Places - Lloyd’s MIU [2007, PDF]
ADMIRALTY Digital Catalogue (ADC) v.1.8.8 - UKHO [2026]
Tide Tables 2020 - West Coast of North and South America, Including the Hawaiian Islands - NOAA…
NP286 Admiralty List of Radio Signals Volume 6, Parts 1, 2 and 3 - UKHO [2025, PDF]
Passage Manager 6.0 + MetManager 7.0 - ChartCo [2016]
Reeds Marine Distance Tables - Compiled by: R.W. Caney & J.E. Reynolds, Revised by: Miranda…
Tide Tables 2020 - East Coast of North and South America including Greenland - NOAA [2020, PDF]
Q6110 - Maritime Security Chart - Mediterranean Sea - UKHO [2021, PDF]
LOAD MORE
  • Reply

The time now is: Today 00:19

All times are GMT + 3 Hours