Теория, устройство и живучесть корабля. Ч.1. Устройство и физические поля корабля
Год выпуска: 2025 Язык: Русский Автор: Галий В.А., Окунь А.А., Фомин А.В. Жанр: Учебное пособие Издательство: СевГУ Формат: PDF Качество: Изначально компьютерное (eBook) Количество страниц: 217 Описание: Предисловие. Основные направления развития надводных кораблей ВМФ. Формирование облика (архитектуры) будущего надводного корабля. Понятие о боеспособности и мореходных качествах корабля. Теоретический чертеж и основные конструктивные элементы корпуса корабля. Прогнозирование, расчет необходимых статистических и динамических характеристик надводного корабля. Обеспечение прочности основного корпуса корабля. Основные командные пункты, боевые посты, корабельные помещения. Физические поля корабля. Заключение. Литература. Приложения.
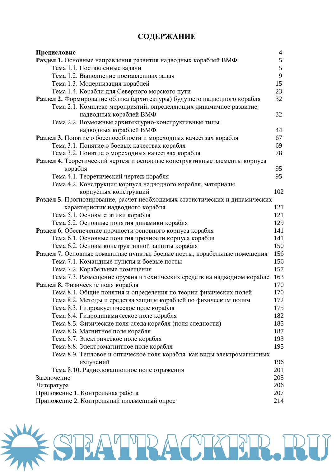
Содержание
Предисловие. Основные направления развития надводных кораблей ВМФ. Формирование облика (архитектуры) будущего надводного корабля. Понятие о боеспособности и мореходных качествах корабля. Теоретический чертеж и основные конструктивные элементы корпуса корабля. Прогнозирование, расчет необходимых статистических и динамических характеристик надводного корабля. Обеспечение прочности основного корпуса корабля. Основные командные пункты, боевые посты, корабельные помещения. Физические поля корабля. Заключение. Литература. Приложения.
Содержание
Скриншоты
4.9
Галий В.А., Окунь А.А., Фомин А.В. Теория, устройство и живучесть корабля. Ч.1. Устройство и физические поля корабля, 2025.pdf
You cannot post new topics in this forum You cannot reply to topics in this forum You cannot edit your posts in this forum You cannot delete your posts in this forum You cannot vote in polls in this forum You cannot attach files in this forum You cannot download files in this forum
Теория, устройство и живучесть корабля. Ч.1. Устройство и физические поля корабля
Язык: Русский
Автор: Галий В.А., Окунь А.А., Фомин А.В.
Жанр: Учебное пособие
Издательство: СевГУ
Формат: PDF
Качество: Изначально компьютерное (eBook)
Количество страниц: 217
Описание: Предисловие.
Основные направления развития надводных кораблей ВМФ.
Формирование облика (архитектуры) будущего надводного корабля.
Понятие о боеспособности и мореходных качествах корабля.
Теоретический чертеж и основные конструктивные элементы корпуса корабля.
Прогнозирование, расчет необходимых статистических и динамических характеристик надводного корабля.
Обеспечение прочности основного корпуса корабля.
Основные командные пункты, боевые посты, корабельные помещения.
Физические поля корабля.
Заключение.
Литература.
Приложения.
Содержание
Предисловие.Основные направления развития надводных кораблей ВМФ.
Формирование облика (архитектуры) будущего надводного корабля.
Понятие о боеспособности и мореходных качествах корабля.
Теоретический чертеж и основные конструктивные элементы корпуса корабля.
Прогнозирование, расчет необходимых статистических и динамических характеристик надводного корабля.
Обеспечение прочности основного корпуса корабля.
Основные командные пункты, боевые посты, корабельные помещения.
Физические поля корабля.
Заключение.
Литература.
Приложения.
Содержание
Скриншоты
Галий В.А., Окунь А.А., Фомин А.В. Теория, устройство и живучесть корабля. Ч.1. Устройство и физические поля корабля, 2025.pdf
Download [7 KB]
Share
Молодец!
Share