Расследование аварийных случаев на морском транспорте
Год выпуска: 2024 Язык: Русский Автор: Царик Р. С. Жанр: Учебное пособие Издательство: Морской государственный университет им. адм. Г. И. Невельского Издание: Морской государственный университет ISBN: 978-5-8343-1248-2 Формат: PDF Качество: Изначально компьютерное (eBook) Количество страниц: 78 Описание: Содержит нормативные требования в отношении проведения расследований аварийных случаев на морском транспорте. Рассмотрены наиболее эффективные методики проведения расследований, применяемые различными органами расследования в отрасли судоходства. Даны практические рекомендации к сбору данных, классификации аварийных случаев и проведению расследования с целью выявления первопричин и выработки эффективных предупреждающих действий. Облегчит понимание требований нормативных документов для их эффективного применения в практической деятельности по проведению расследований аварийных случаев на морском транспорте. Предназначено для курсантов, обучающихся по специальности 26.05.05 «Судовождение». Будет полезно обучающимся по специальности 40.03.01 «Юриспруденция» и судоводителям-практикам.
Содержание
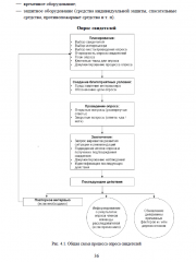
Скриншоты
5
Расследование аварийных случаев на морском транспорте - Царик Р. С.pdf
You cannot post new topics in this forum You cannot reply to topics in this forum You cannot edit your posts in this forum You cannot delete your posts in this forum You cannot vote in polls in this forum You cannot attach files in this forum You cannot download files in this forum
Расследование аварийных случаев на морском транспорте
Язык: Русский
Автор: Царик Р. С.
Жанр: Учебное пособие
Издательство: Морской государственный университет им. адм. Г. И. Невельского
Издание: Морской государственный университет
ISBN: 978-5-8343-1248-2
Формат: PDF
Качество: Изначально компьютерное (eBook)
Количество страниц: 78
Описание: Содержит нормативные требования в отношении проведения расследований аварийных случаев на морском транспорте. Рассмотрены наиболее эффективные методики проведения расследований, применяемые различными органами расследования в отрасли судоходства. Даны практические рекомендации к сбору данных, классификации аварийных случаев и проведению расследования с целью выявления первопричин и выработки эффективных предупреждающих действий.
Облегчит понимание требований нормативных документов для их эффективного применения в практической деятельности по проведению расследований аварийных случаев на морском транспорте.
Предназначено для курсантов, обучающихся по специальности 26.05.05 «Судовождение». Будет полезно обучающимся по специальности 40.03.01 «Юриспруденция» и судоводителям-практикам.
Содержание
Скриншоты
Расследование аварийных случаев на морском транспорте - Царик Р. С.pdf
Download [1 KB]
Share