Basic Training for Polar Waters (A Five Days Course for Deck Officers)
Year: 2022 Language: English Author: AEMTC Genre: Training courses Publisher: Anglo Eastern Maritime Training Centre (AEMTC) Edition: Rev. 1.0 Format: PDF Quality: eBook Pages count: 121 Description: Basic Training for Polar Waters A Five Days Course for Deck Officers. Participant Handout. Aim of this course: This course provides training to navigation officers to operate ships in polar waters and to address those additioanl provisions deemed necessary for consideration beyond existing requirements of the SOLAS & MARPOL Conventions, in order to take into account the climatic conditions of polar waters and to meet appropriate standards of maritime safety and pollution prevention.
You cannot post new topics in this forum You cannot reply to topics in this forum You cannot edit your posts in this forum You cannot delete your posts in this forum You cannot vote in polls in this forum You cannot attach files in this forum You cannot download files in this forum
Basic Training for Polar Waters (A Five Days Course for Deck Officers)
Language: English
Author: AEMTC
Genre: Training courses
Publisher: Anglo Eastern Maritime Training Centre (AEMTC)
Edition: Rev. 1.0
Format: PDF
Quality: eBook
Pages count: 121
Description: Basic Training for Polar Waters
A Five Days Course for Deck Officers.
Participant Handout.
Aim of this course:
This course provides training to navigation officers to operate ships in polar waters and to address those additioanl provisions deemed necessary for consideration beyond existing requirements of the SOLAS & MARPOL Conventions, in order to take into account the climatic conditions of polar waters and to meet appropriate standards of maritime safety and pollution prevention.
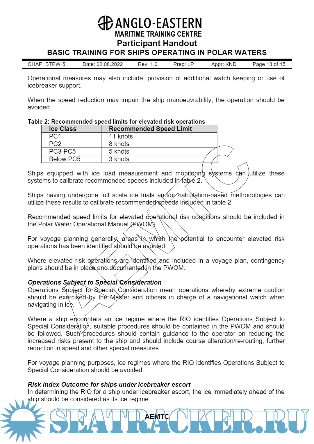
Contents
Screenshots
BASIC POLAR_DG HANDOUT.pdf
Download [6 KB]
Share