Yash10109410 ®   20-Apr-2024 11:36

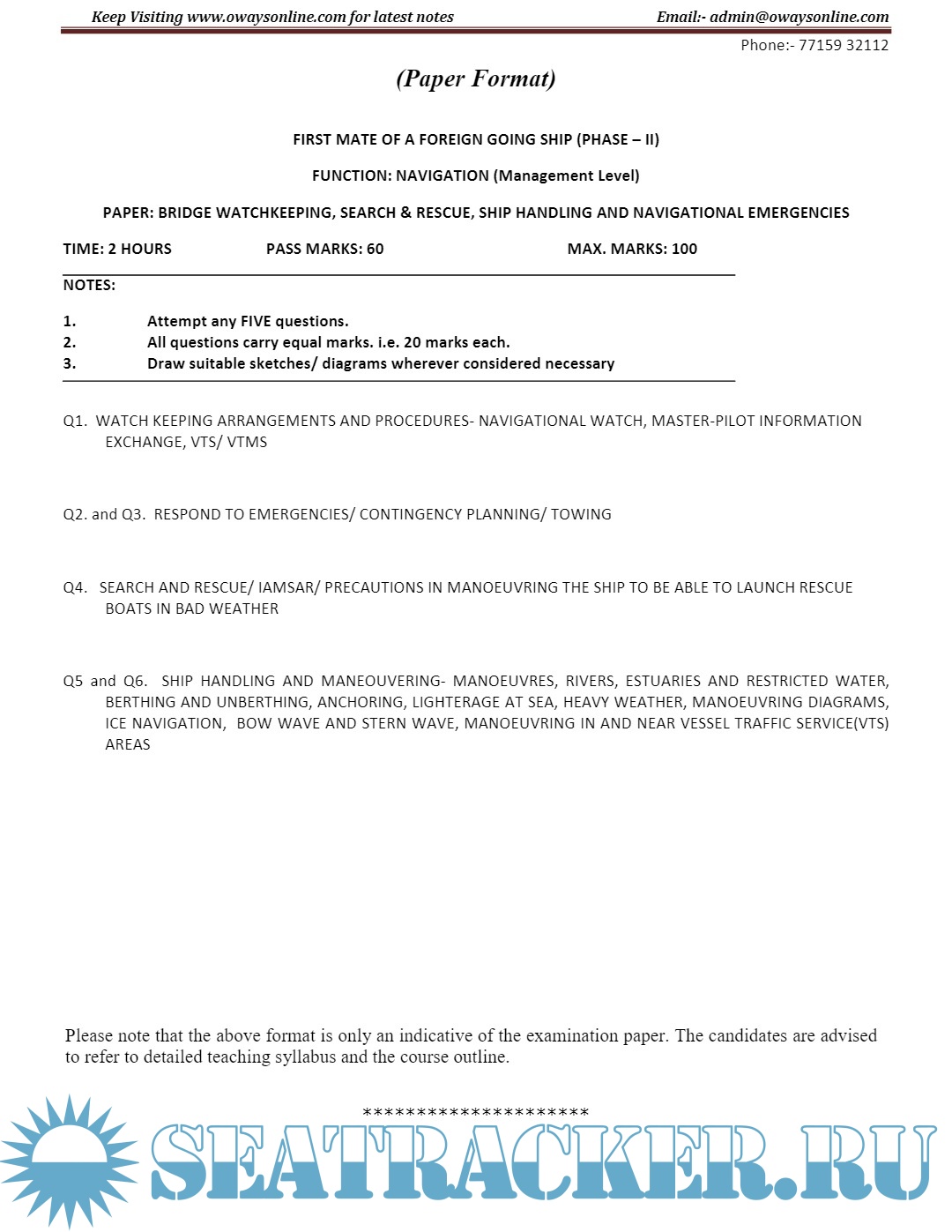
Bridge Watch Keeping Question Bank Till Jan 2024


Year: 2024
Language: English
Author: Yash
Genre: Other
Format: PDF
Quality: eBook
Pages count: 53
Description: Bridge Watch Keeping Question Bank Till Jan 2024

Contents

Screenshots

Bridge Watchkeeping Till Jan 2024.pdf

Download [12 KB]

Thank U
Reply
refresh list

Similar releases

MEK Question Bank Till Jan 2024 - Yash [2024, PDF]
Maritime Law Question Bank Till Jan 2024 - Yash [2024, PDF]
Stability 2 Question Bank Till Jan 2024 - Yash [2024, PDF]
Nav Aids Question Bank Till Jan 2024 - Yash [2024, PDF]
TCN MMD Question Paper - Yash [2023, PDF]
Stability MMD Question Paper - Yash [2023, PDF]
Safety MMD Question Paper - Yash [2023, PDF]
Meteorology MMD Question Paper - Yash [2023, PDF]
Cargo MMD Question Paper - Yash [2023, PDF]
Chief Mates Orals Question Bank updated till FEB 2018 - owayonline.com [2018, PDF]
LOAD MORE
  • Reply

The time now is: Today 15:03

All times are GMT + 3 Hours