Year: 2019 Language: english Author: IACS Genre: Guide Format: PDF Quality: eBook Pages count: Multiple Description: The IACS Green Book contains all currently in force IACS Resolutions and Recommendations. The Green Book is updated when an IACS new or revised Resolution or Recommendation is uploaded on the IACS website. The Green Book will enable end users to download it just before going to a working location where there may not be access to internet available. The Blue Book containing all historical publications will be published annually.
You cannot post new topics in this forum You cannot reply to topics in this forum You cannot edit your posts in this forum You cannot delete your posts in this forum You cannot vote in polls in this forum You cannot attach files in this forum You cannot download files in this forum
IACS Green Book
Language: english
Author: IACS
Genre: Guide
Format: PDF
Quality: eBook
Pages count: Multiple
Description: The IACS Green Book contains all currently in force IACS Resolutions and Recommendations. The Green Book is updated when an IACS new or revised Resolution or Recommendation is uploaded on the IACS website.
The Green Book will enable end users to download it just before going to a working location where there may not be access to internet available. The Blue Book containing all historical publications will be published annually.
Contents
Unified RequirementsUnified Interpretations
Recommendations
Procedural Requirements
Annex
Disclaimer_and_Copyright
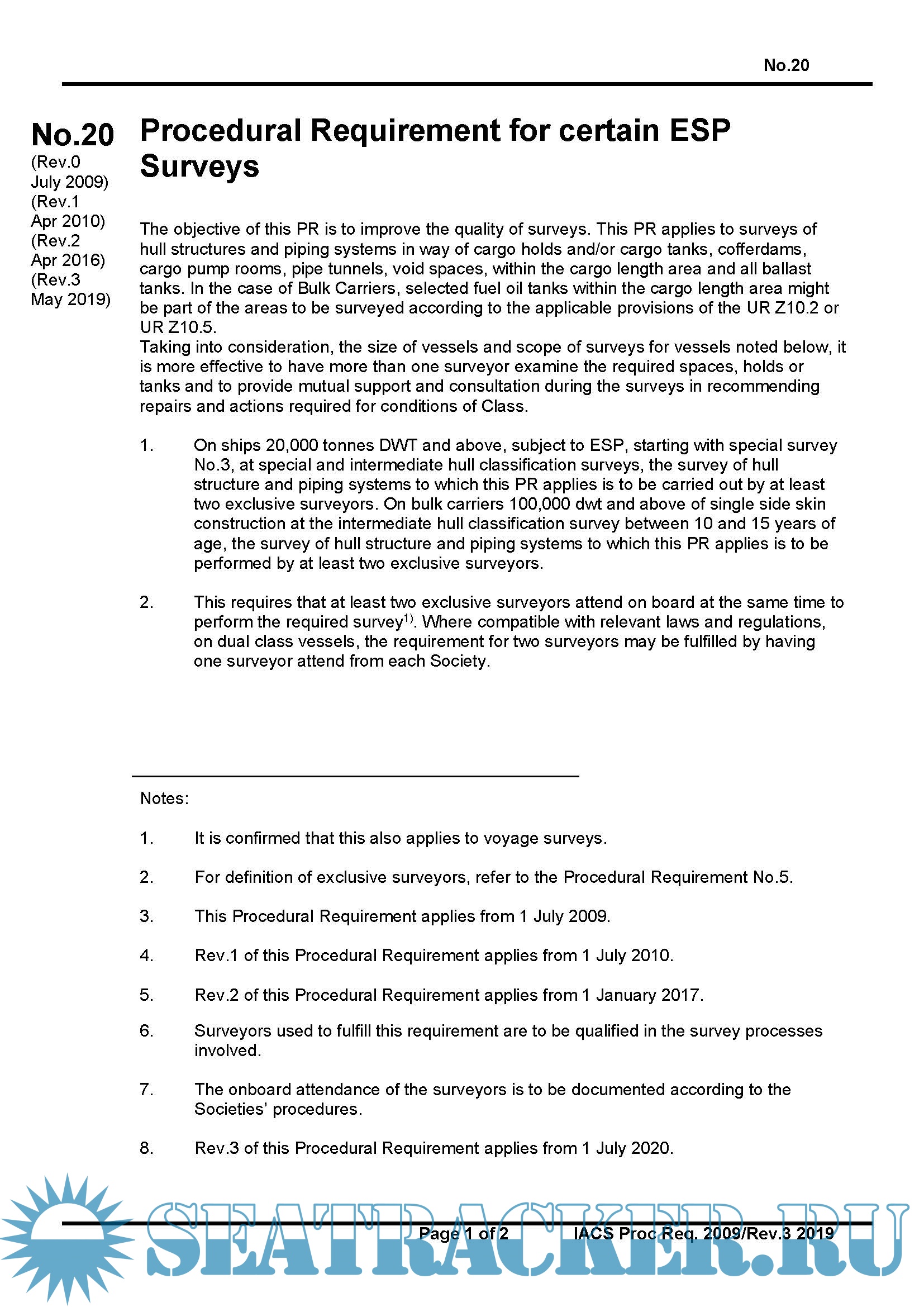
Screenshots
Notice from: virtual [translate]
New Edition here
IACS Green Book - IACS [2020, PDF]
greenbook.zip
Download [18 KB]
Share
virtual
Share