sumityad1509 ®   09-Aug-2018 06:42

HVAC - Equations, Data, and Rules of Thumb, 2nd Edition


Year: 2007
Language: english
Author: Arthur A. Bell JR., P.E.
Genre: Reference book
Publisher: Tata - McGraw Hill
Format: PDF
Quality: eBook
Pages count: 791
Description: This comprehensive volume, often called the “HVAC bible,” has been thoroughly updated to cover the latest code changes, equipment, and techniques
HVAC Equations, Data, and Rules of Thumb, 2e offers all of the information an HVAC student or professional needs in one resource. The book thoroughly explains the expansion of piping systems and temperature limitations of new materials such as polyethylene, polypropylene, PVC, CPVC, and PEX. Detailed information is included for all types of facilities, including offices, hotels, hospitals, restaurants, commercial spaces, and computer rooms.
This practical handbook reflects all the latest code changes—including the ASHRAE standards—and explains how to interpret and put them to use. It includes completely updated coverage of new pumps, chillers, air handling units, cooling equipment, boilers, and pipe material. You will get complete coverage of sustainability organizations that have become more important since last edition, including LEED, USGBC, Energy Star.
Features hundreds of equations and rules for everything from ductwork to air-handling systems
Includes a brand-new chapter on sound, vibration, and acoustics
Contains an updated list of equipment manufacturers for all products featured

Contents

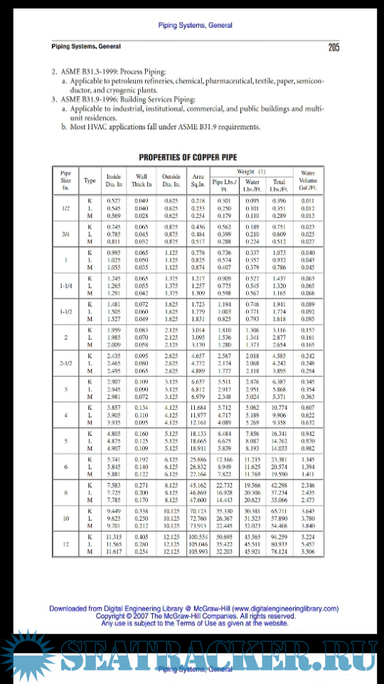
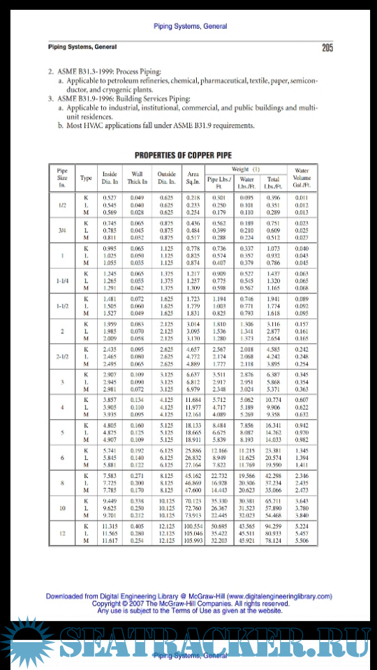
HVAC Calculations , piping data

Screenshots

Hidden

Reply
Arcan   09-Aug-2018 08:03
sumityad1509, What about contents of this book?
How to edit your release - read here
Registered: 1 hour 18 minutes | Completed: 0 times
Seeder not seen: Never
I suppose, you forget to download back your torrent file and add it to your client. Therefore nobody can download it
0
Reply
Arcan   09-Aug-2018 09:43
sumityad1509, Registered: 3 days | Completed: 0 times
Seeder not seen: Never
0
Reply
Arcan   12-Aug-2018 10:17
sumityad1509, will await 1 day more for seeder, then, if not appeared, release will be deleted.
0
Reply
refresh list

Similar releases

HVAC - Equations, Data, and Rules of Thumb, 2nd Edition - Arthur A. Bell JR., P.E. [2007, PDF]
Piping Systems Manual - Brian Silowash [2010, PDF]
Refrigeration and Air Conditioning - W.F. Stoecker, J.W. Jones [1983, PDF]
Industrial Electricity and Motor Controls - Rex Miller, Mark Miller [2013, PDF]
Troubleshooting and Repairing Diesel Engines - Paul Dempsey [2018, EPUB]
Boiler Operator's Guide - Ray Wohlfarth, Anthony L. Kohan [2021, PDF]
Steam Plant Operation - Everett B. Woodruff, Herbert B. Lammers, Thomas F. Lammers [2004, PDF]
HVAC Troubleshooting Guide - Rex Miller [2009, PDF]
Linden's Handbook of Batteries - Kirby W. Beard [2019, PDF]
Marine Electrical and Electronics Bible: A Practical Handbook for Cruising Sailors (Sheridan House…
LOAD MORE
  • Reply

The time now is: Today 11:23

All times are GMT + 3 Hours