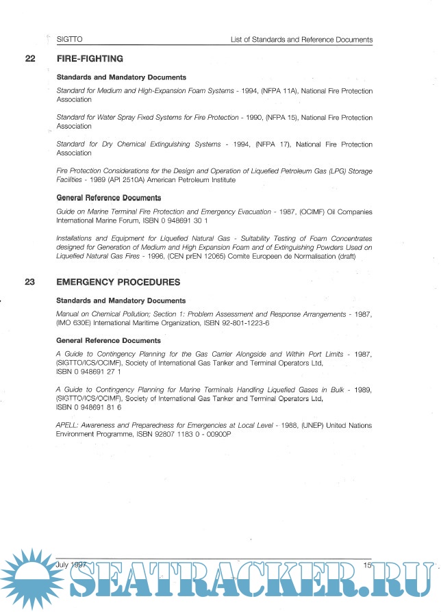
SIGTTO Information Paper No. 15: A Listing Of Design Guidelines For Liquefied Gas Terminals (Referencing Ports and Jetties)
Year: 1997 Language: english Author: SIGTTO Publisher: Witherby & Co. Ltd. Edition: 1st ISBN: 1-85609-140-6 Format: PDF Quality: Scanned pages Pages count: 19 Description: SIGTTO has prepared this paper to provide advice on design matters connected with jetties and harbours; especially for ports handling cargoes of liquefied gas. It is written to benefit terminal operators and companies planning marine gas terminal developments. However, the data provided may also be of help to individual gas companies as they write project specifications.
Contents
Screenshots
4.9
SIGTTO Information Paper No. 15 [1st Edition July 1997].pdf
You cannot post new topics in this forum You cannot reply to topics in this forum You cannot edit your posts in this forum You cannot delete your posts in this forum You cannot vote in polls in this forum You cannot attach files in this forum You cannot download files in this forum
SIGTTO Information Paper No. 15: A Listing Of Design Guidelines For Liquefied Gas Terminals (Referencing Ports and Jetties)
Language: english
Author: SIGTTO
Publisher: Witherby & Co. Ltd.
Edition: 1st
ISBN: 1-85609-140-6
Format: PDF
Quality: Scanned pages
Pages count: 19
Description: SIGTTO has prepared this paper to provide advice on design matters connected with jetties and harbours; especially for ports handling cargoes of liquefied gas. It is written to benefit terminal operators and companies planning marine gas terminal developments. However, the data provided may also be of help to individual gas companies as they write project specifications.
Contents
Screenshots
SIGTTO Information Paper No. 15 [1st Edition July 1997].pdf
Download [19 KB]
Share
Share